Αφιερωμένο στη μνήμη του
Γράψαμε προχθές ότι έκλεισε δικαστικά, μετά από σχεδόν 14 χρόνια, η υπόθεση του φοβερού τροχαίου στη λεωφόρο Καζαντζίδη όπου ένας 19χρονος τότε κτηνοτρόφος από τ’ Ανώγεια χτύπησε με το αγροτικό του και εγκατέλειψε στην άσφαλτο τον 29χρονο διανομέα φαγητού Νίκο Πετράκη. Ο άδικος και πρόωρος χαμός του 29χρονου είχε συγκλονίσει τους πάντες και είχε αποτελέσει αφορμή ώστε να αφυπνιστούν και να οργανωθούν υπό τη σκέπη ενός σωματείου όλοι οι εργαζόμενοι δικυκλιστές (διανομείς φαγητού, κούριερ κλπ).
Μάλιστα είχαμε ξεχάσει-μάς το θύμισε συγκινημένη η δικηγόρος Βιβή Δερμιτζάκη που είχε αναλάβει τότε τη διαδικασία- ότι το όνομα του Σωματείου ήταν αφιερωμένο στη μνήμη του αδικοχαμένου παλικαριού. Ήταν το Σωματείο Εργαζομένων Οδηγών με δίκυκλο όχημα Ν. Ηρακλείου Κρήτης, με τον διακριτικό τίτλο «Τελευταίος τροχός-Νίκος Πετράκης».
Μερικοί προκαλούν
Μεγάλη έλλειψη τραυματιοφορέων έχει το ΠΑΓΝΗ και είναι πρόκληση κάποιοι από τους λίγους που υπάρχουν να λουφάρουν καθημερινά και να κρύβονται στις γωνιές για να μην τους δουν και τους καλέσουν να μεταφέρουν κανένα άρρωστο.
Γιατί δεν τους μιλάει κανείς την ώρα που οι συνοδοί των ασθενών ψάχνουν σε όλο το νοσοκομείο ένα καροτσάκι, που επίσης είναι σε έλλειψη, για να κάνουν τη δουλειά τους;
Η μελέτη και τα αυτονόητα
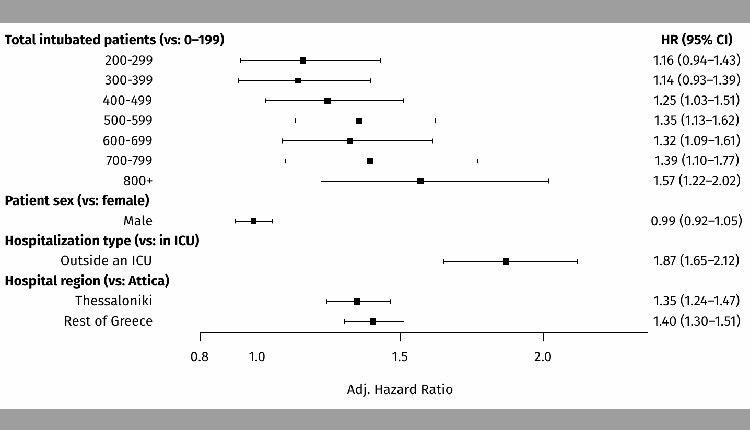
Είναι ενδιαφέρουσα και… σχεδόν αυτονόητη η μελέτη Τσιόδρα- Λύτρα που χθες… αδειάστηκε από την κυβέρνηση. Διαφώνησε και η Γκάγκα και ο Μαγιορκίνης.
Tα ευρήματα συνοψίζονται σε αυτό το διάγραμμα:
Όσο περισσότεροι διασωληνωμένοι στο ΕΣΥ, τόσο αυξάνει *κλιμακωτά* η πιθανότητα θανάτου ανά μέρα νοσηλείας: +25% για >400, έως +57% για >800 ασθενείς.
Διασωλήνωση σε νοσοκομείο *εκτός Αττικής* σχετιζόταν με +35-40% θνητότητα.
Δηλαδή η ουσία στη μελέτη των Τσιόδρα-Λύτρα είναι ακριβώς αυτό εδώ. ΜΕΘ επαρχίας = Μεγαλύτερη θνητότητα. Περισσότεροι από 400 σε ΜΕΘ = Μεγαλύτερη θνητότητα. Ας μην μένουμε στην μικροπολιτική.
Τον διέγραψαν για τους χαρακτηρισμούς
Σε αρένα λίγο έλειψε να μετατραπεί η Βουλή μετά τη σφοδρή επίθεση του Παναγιώτη Κουρουμπλή στην κυβέρνηση για την κατάσταση στις ΜΕΘ με αφορμή την έρευνα των καθηγητών Τσιόδρα- Λύτρα και τη φράση περί «δολοφόνων» που εκτόξευσε προς τα κυβερνητικά έδρανα.
«Τον φίλο μου που χάθηκε, τη μητέρα, τον αδερφό ποιος θα τον φέρει πίσω; Ποιος θα απολογηθεί γι’ αυτό; Ντροπή! Αίσχος! Δολοφονήσατε τους ανθρώπους, αυτό κάνατε! Και επιμένετε! Ντροπή σας! Δολοφονήθηκαν χιλιάδες άνθρωποι, αυτή είναι η παραγματικότητα. Δεν θα το ξεπεράσετε έτσι!» τόνισε ο Παναγιώτης Κουρουμπλής αναφερόμενος στους θανάτους από την πανδημία. Οι αναφορές αυτές προκάλεσαν σάλο και στα έδρανα επικράτησε ένας χαμός από τους παρευρισκόμενους βουλευτές της ΝΔ. Κι όταν χθες το βράδυ του ζήτησαν από τον ΣΥΡΙΖΑ να ανακαλέσει εκείνος αρνήθηκε και με απόφαση Τσίπρα διεγράφη.
Νωρίτερα παρενέβη ο πρόεδρος της συνεδρίασης και ζήτησε από τον κ. Κουρουμπλή να ανακαλέσει.
Πρόεδρος: Σας παρακαλώ
Π. Κουρουμπλής: Έχω δικαίωμα να μιλάω, κ. πρόεδρε
Πρόεδρος: Σας παρακαλώ ανακαλέστε.
Π. Κουρουμπλής: Δεν ανακαλώ τίποτα! Δολοφονήθηκαν άνθρωποι, να απολογηθείτε για τον φίλο μου!
Ο Μαρκόπουλος φωνάζει «να ανακαλέσει!».
Μαρκόπουλος: Τον είπα λαϊκιστή που πουλάει πόνο.
Π. Κουρουμπλής: Ό,τι και να κάνετε είστε υπόλογοι για αυτό που συντελείται! Αναγνωρίστε ότι έγινε λάθος! Πέθαναν άνθρωποι άδικα. Το κατανοείτε; Τίποτα λιγότερο τίποτα περισσότερο.
Πρόεδρος: Μην προκαλείτε και κλείστε.
Π. Κουρουμπλής: Έχω δικάιωμα να μιλήσω, δεν έχει δικαίωμα να με διακόψει κανείς.
Πρόεδρος: Αυτό που σας λέω εγώ, ο κανονισμός της Βουλής το λέει. Θέλω να ανακαλέσετε τα περί δολοφόνων
Π. Κουρουμπλής: Ξέρω τι λέω, μιλάω καλά ελληνικά.
Πρόεδρος: Το σβήνω εγώ.
Άδειασμα και…στέρηση μισθού
…Αλλά και ο κοινοβουλευτικός εκπρόσωπος Πάνος Σκουρλέτης άδειασε νωρίτερα τον βουλευτή του ΣΥΡΙΖΑ, χαρακτηρίζοντας «άστοχη» και «παρεξηγήσιμη» τη φράση περί δολοφόνων, ενώ έντονες ήταν κι οι αντιδράσεις των κομμάτων.
Για «αθλιότητες» και «ύβρεις» έκανε λόγο ο Γιώργος Κουμουτσάκος από τη ΝΔ που απείλησε να διακόψει την ομιλία του αν δεν ανακαλέσει ο Παναγιώτης Κουρουμπλής, ενώ όρθιος φώναζε ο Δημήτρης Μαρκόπουλος. Να ανακαλέσει του ζήτησε κι ο αντιπρόεδρος του Σώματος Απόστολος Αβδελάς με τον ίδιο να εμμένει στις θέσεις του.
Στο μεταξύ μομφή με βάση το άρθρο 80 του κανονισμού της Βουλής είναι η ποινή που επιβλήθηκε στον Παναγιώτη Κουρουμπλή για αντικοινοβουλευτική συμπεριφορά.
Η συγκεκριμένη ποινή κατά του Παναγιώτη Κουρουμπλή σημαίνει ότι ο βουλευτής θα στερηθεί το 1/4 της βουλευτικής του αποζημίωσης.
Ο πρόεδρος της Βουλής Κώστας Τασούλας ανέβηκε στο προεδρείο και αναφερόμενος στο περιστατικό που προηγήθηκε χαρακτήρισε αποκρουστικό και αποτρόπαιο λέγοντας ότι «στιγματίζω το βουλευτή Παναγιώτη Κουρουμπλή με μομφή για αντικοινοβουλευτική συμπεριφορά».
«Στη Βουλή υπάρχει ελευθερία του λόγου και της κριτικής, η απάντηση και ανταπάντηση. Υπάρχει η έντονη πολιτική αντιπαράθεση. Αυτό που δεν υπάρχει και δεν θα επιτρέψουμε είναι να ξεφύγει αυτή η αντιπαράθεση και να φτάσει τα όρια της ανθρωποφαγίας» είπε αρχικά ο κ. Τασούλας επισημαίνοντας ότι οι φράσεις περί «δολοφόνων βουλευτών» φτάνουν «στα όρια της προτροπής προς κάποιους έξαλλους έξω από εδώ (σ.σ. τη Βουλή) να φτάσουν σε πράξεις ακραίες».
Μάλιστα ο κ. Τασούλας εξηγώντας την καθυστέρηση στην ανακοίνωση της ποινής στον βουλευτή του ΣΥΡΙΖΑ ανέφερε ότι «περίμενα τα πρακτικά της Βουλής γιατί δεν πίστεψα ότι ακούστηκαν εδώ ύβρεις και προπηλακισμοί από βουλευτή εναντίον άλλων βουλευτών ότι έχουν προβεί σε δολοφονίες».
Καλάθι με καλούδια
Ένα καλάθι με προϊόντα Προστατευόμενης Ονομασίας Προέλευσης από οκτώ περιφέρειες της Ελλάδας προσέφερε εν όψει των εορτών ο υπουργός Αγροτικής Ανάπτυξης και Τροφίμων κ. Σπήλιος Λιβανός στην Πρόεδρο της Δημοκρατίας κ. Κατερίνα Σακελλαροπούλου. Την επισκέφτηκε προκειμένου να την ενημερώσει για το νέο Στρατηγικό Σχέδιο της νέας Κ.Α.Π (Κοινή Αγροτική Πολιτική), αλλά και για τις προτεραιότητες της εθνικής στρατηγικής που υλοποιεί το ΥπΑΑΤ για την αγροτική οικονομία.
Η πρόεδρος χαρακτήρισε ευλογημένο τόπο την Ελλάδα, ενώ αναφερόμενη στα προϊόντα υψηλής ποιότητας και διατροφικής αξίας που παράγονται στη χώρα μας, υπογράμμισε τη σημασία του αγροτικού τομέα για την ανάπτυξη της χώρας. Τόνισε, επίσης, τη συμβολή των νέων τεχνολογιών στην εφαρμογή νέων, καινοτόμων πρακτικών της «πράσινης» γεωργίας, που αποτελούν πρόκληση και σημαντική ευκαιρία για τους Έλληνες αγρότες και για την πατρίδα μας συνολικά.
@patris
Τι έγινε σύντροφοι; Ο Σ. Τσιόδρας από
«κυβερνητικό παπαγαλάκι» έγινε «σοβαρός επιστήμονας»;
Beria
Έρχεται η Carmel
Προσοχή, έρχεται κακοκαιρία που θα μας επηρεάσει. Διαταραχή στην ανώτερη ατμόσφαιρα θα προκαλέσει κακοκαιρία με την ονομασία Carmel, όπως προαποφασίστηκε από τους εταίρους του group της νοτιοανατολικής Ευρώπης,υπεύθυνους για την ονοματοδοσία των συστημάτων. Η κακοκαιρία τις επόμενες ημέρες θα επηρεάσει τη νοτιοανατολική Μεσόγειο, όπου προβλέπεται να σημειωθούν μεγάλα ύψη βροχής, έντονες καταιγίδες, σφοδροί άνεμοι και σημαντικό ύψος κύματος.
Ειδικότερα στη χώρα μας ο καιρός θα παρουσιάσει επιδείνωση το Σαββάτο (18-12-21) και την Κυριακή (19-12-21) με κύρια χαρακτηριστικά τις κατά τόπους ισχυρές βροχές και καταιγίδες, τις χιονοπτώσεις στα κεντρικά και τα νότια και τους θυελλώδεις ανέμους.
Μεταφέρθηκε στο «Υγεία»
Σε ιδιωτικό θεραπευτήριο στην Αθήνα μεταφέρθηκε εσπευσμένα την Τετάρτη ο τέως βασιλιάς της Ελλάδας, Κωνσταντίνος, μετά το ισχαιμικό επεισόδιο το οποίο υπέστη.
Ο τέως βασιλιάς διαμένει μόνιμα στην Ερμιονίδα και διακομίσθηκε αργά το απόγευμα στο Κέντρο Υγείας Κρανιδίου, όπου του παρασχέθηκαν οι απαραίτητες ιατρικές βοήθειες και σταθεροποιήθηκε η κατάσταση της υγείας του, ενώ με ασθενοφόρο του ΕΚΑΒ Αργολίδας μεταφέρθηκε στο «Υγεία». Ο τέως βασιλιάς είχε περάσει και άλλο εγκεφαλικό επεισόδιο στο παρελθόν και στο πλευρό του βρίσκονται ο γιος του Νικόλαος και η σύζυγός του Άννα Μαρία.
Ο έλεγχος του… δασκάλου!
Λίγο πριν τις γιορτές οι μαθητές έχουν αγωνία για τους βαθμούς που θα έχουν στον έλεγχο του πρώτου τριμήνου. Ανάλογο άγχος είχε και ο κ. Μάριος Μάζαρης, δάσκαλος, ο οποίος ζητά από τους μαθητές να ανταλλάξουν ρόλους και να τον βαθμολογήσουν εκείνοι!
Ο ίδιος αναφέρει σε ανάρτησή του, μεταξύ άλλων «στην αρχή σάστισαν, τους εξήγησα ότι ακόμα κι εγώ μπορεί να μην τα πηγαίνω καλά, είναι σημαντικό να μου εξηγήσουν τι δεν πήγε όπως νόμιζα. Ήμουν επεξηγηματικός; Βοήθησα; Ένιωσα; Ήμουν παρών; Μάλωσα, φώναξα, κέρδισα, έχασα; Πολλά ερωτήματα – που πιστέψτε με – δεν είχα καμία σιγουριά για το πώς θα απαντηθούν. Τα παιδιά όμως μπήκαν στο “παιχνίδι“ μου, γιατί κανείς δεν είναι αλάθητος και τέλειος.
Το να είσαι δάσκαλος είναι από τα πιο δύσκολα πράγματα στον κόσμο. Το να επηρεάζεις, να δίνεις τον ρυθμό ή να δείχνεις τον δρόμο, από τα πιο μεγάλα βάρη. Σε αυτή την αξιολόγηση τα πήγα καλά μαμά, θα κάτσω να μελετήσω τους βαθμούς, τα σχόλιά τους. Κάποια παιδιά ζήτησαν παραπάνω μπράβο, κάποια θέλουν πιο πολύ παιχνίδι μαζί μου, κάποια με ενθάρρυναν. Σε γενικές γραμμές, θα φέρω σπίτι καλούς βαθμούς. Στο επόμενο τρίμηνο ποιος ξέρει, θα προσπαθήσω».
Δώστε μου τα πιστοποιητικά»!
Θέατρο του παραλόγου και από άλλο…. Θεματοφύλακα του Συντάγματος, που έκανε έφοδο σε ΚΕΠ στη Θεσσαλονίκη, απαιτώντας να ελέγξει τα πιστοποιητικά εμβολιασμού των υπάλληλων και τα rapid test τους, επειδή ο ίδιος ήταν ανεμβολίαστος.Με επιθετικό τρόπο και με το γνωστό επιχείρημα της «εσχάτης προδοσίας» επειδή εφαρμόζουν τα μέτρα της πανδημίας, ο άνδρας βιντεοσκοπεί τον «έλεγχο» που απαιτεί να κάνει σε υπάλληλο του ΚΕΠ, επειδή αρχικά του απαγορεύτηκε η είσοδος και του ζήτησαν να φέρει rapid test για να του επιτραπεί η είσοδος.
Σε βίντεο που δημοσιεύθηκε φάνηκε να παρενοχλεί όλους τους υπαλλήλους του ΚΕΠ, παρά την ευγένεια και την υπομονή που δείχνει ο προϊστάμενος. «Θέλω και η υπάλληλος μέσα που με έδιωξε να μου δείξει και αυτή το rapid test της αν είναι αρνητικό. Μπορώ να το δω;» είπε.
Μάλιστα τους τραμπουκίζει όλους σε τέτοιο βαθμό που ο προϊστάμενος του ΚΕΠ αναγκάζεται να του δείξει το πιστοποιητικό εμβολιασμού του και να του δώσει τα προσωπικά του στοιχεία για να τον ηρεμήσει.
Κάλεσε την… Παπαρήγα στο βήμα!
Τι ζούμε! Αρχηγό κόμματος έκανε… ξανά την Αλέκα Παπαρήγα ο αντιπρόεδρος της Βουλής Απόστολος Αβδελάς ο οποίος κάλεσε στο βήμα τη γενική γραμματέα του ΚΚΕ, δίνοντας της τον λόγο!
Αξίζει να σημειωθεί ότι ο αντιπρόεδρος της Βουλής δεν είχε αντιληφθεί το λάθος του ούτε όταν άρχισαν οι διαμαρτυρίες από τα έδρανα των βουλευτών του ΚΚΕ. Ωστόσο, όταν του εξήγησαν τι είχε συμβεί, ο ίδιος ζήτησε να μεταφέρουν τη συγγνώμη του στον Δημήτρη Κουτσούμπα.
Καταθέτουν αγωγή
Εναντίον του επί σχεδόν 14 χρόνια στενού τους συνεργάτη Στάθη Παναγιωτόπουλου στρέφονται οι τρεις των Ράδιο. Μετά τις τηλεοπτικές «απολογίες» και τη συνεχή προσπάθεια να πείσουν ότι δεν γνώριζαν το παραμικρό τόσο για την τριετή δικαστική του εμπλοκή μετά τη μήνυση της γυναίκας-θύματός του, τις δηλώσεις ότι θα συμπαρασταθούν στην κοπέλα, αποφάσισαν να προχωρήσουν και σε αγωγή σε βάρος του: ζητούν την αποκατάσταση της ζημίας και της ηθικής βλάβης που έχουν υποστεί τόσο οι ίδιοι ως πρόσωπα, όσο και το τηλεοπτικό τους προϊόν.
Οι τρεις του Ράδιο Αρβύλα, Αντώνης Κανάκης, Γιάννης Σερβετάς και Χρήστος Κιούσης, έχουν περιέλθει σε ιδιαίτερα δεινή θέση μετά τις αποκαλύψεις για τον Στάθη Παναγιωτόπουλο.
Αφού υποχρεώθηκαν σε εξηγήσεις «γιατί έβαλαν αυτόν άνθρωπο στα σπίτια όλων», αναγκάστηκαν να πουν πρόωρο αντίο στο τηλεοπτικό κοινό εν μέσω θύελλας αντιδράσεων, αλλά παρά τις προσπάθειές τους, οι χρήστες των social media εξακολουθούν να διατυπώνουν την πεποίθηση ότι δεν ήταν δυνατό να μη γνώριζαν ότι λειτουργούσε παρενοχλητικά προς τις γυναίκες ο στενός τους συνεργάτης- άλλωστε αυτό επιβεβαίωσε η καταγγελία πρώην εργαζόμενης στην τηλεοπτική παραγωγή. Σήμερα έκαναν το επόμενο βήμα στη διαδικασία του «απεταξάμην», καταθέτοντας την αγωγή σε βάρος του Παναγιωτόπουλου.
Ξεχάσαμε;
Δεν ξέρω τι ακριβώς θέλουν να πουν στον ΣΥΡΙΖΑ Ηρακλείου ή τι νομίζουν ότι κάνουν όταν βγάζουν ανακοίνωση για τη βάση των Γουρνών και μιλούν για «ξεπούλημα του φιλέτου του Ελληνικού Δημοσίου!» Πώς να πείσουν και τον πιο σφοδρό πολέμιο της κυβέρνησης Μητσοτάκη όταν εκείνοι ήταν που προώθησαν τον διαγωνισμό και…άφησαν το παραθυράκι για το… καζίνο; Τα ξεχάσαμε όλα αυτά;
Αδικίες
Το λέει και ο Γρηγόρης Δικαίος: Είναι δυνατόν οι χειρότεροι δρόμοι που είχαν απομείνει στην Ελλάδα να είναι ο ΒΟΑΚ, ο Πάτρας- Πύργου και ο άξονας της Εύβοιας; Δηλαδή στα μεγαλύτερα εκλογικά προπύργια του ΠΑΣΟΚ; Και έρχονται σήμερα ο Μητσοτάκης με τον Καραμανλή να διορθώσουν αυτή την αδικία.
Απορία
Η εμφάνιση του Πετράκου χωρίς μάσκα στην κηδεία του Τράγκα είναι μορφή αντίστασης ή ΞΕΚΑΘΑΡΗ επιβεβαίωση του προβλήματος που έχει;
Οι γιατροί
Επειδή ακούμε και ξανακούμε για τις ΜΕΘ. Όλοι οι γιατροί ξέρουν ότι ο εξοπλισμός χωρίς επαρκές και εξειδικευμένο προσωπικό είναι άχρηστος. Και θυμίζουν ότι τουλάχιστον 17500 Έλληνες γιατροί έχουν μεταναστεύσει σύμφωνα με τα στοιχεία του ΙΣΑ. Μόνο στη Γερμανία αποτελούν τη 2η μη γερμανική εθνικότητα!
Δείτε
Αν δεν έχετε δει τι έρχεται δείτε τα κρούσματα covid στην Μεγάλη Βρετανία λόγω «Όμικρον»: 14/12: 59000, 15/12: 77000, 16/12: 88000.
Ικανοποίηση
Με ιδιαίτερη ικανοποίηση υποδέχθηκε η Ελλάδα την έγκριση και υπερψήφιση του νομοσχεδίου Μενέντεζ της αμυντικής συνεργασίας Ελλάδας-ΗΠΑ από την αμερικανική Γερουσία.
Το εν λόγω νομοσχέδιο και η έγκρισή του από τη Γερουσία των ΗΠΑ ουσιαστικά ανοίγει το δρόμο στην Ελλάδα για την επίσπευση της παράδοσης των μαχητικών αεροσκαφών F-35 στην περίπτωση που η Ελλάδα αποφασίσει να τα αγοράσει.
Η συγκεκριμένη εξέλιξη σημαίνει ότι το νομοσχέδιο Μενέντεζ γίνεται αυτόματα νόμος του κράτους μαζί με την υπογραφή του προϋπολογισμού από τον πρόεδρο Μπάιντεν. Πρόκειται για το δεύτερο νομοσχέδιο ελληνικού ενδιαφέροντος που καταφέρνει να περάσει στο αμερικανικό Κογκρέσο μέσα στα δύο τελευταία χρόνια.
