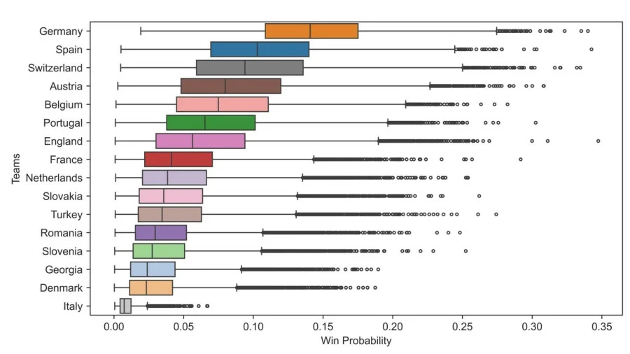
Καθώς το Ευρωπαϊκό Πρωτάθλημα ποδοσφαίρου βρίσκεται σε εξέλιξη, ένας αλγόριθμος υποδεικνύει την ομάδα που είναι πιθανότερο να κερδίσει. Λαμβάνοντας υπόψη μόνο τους αγώνες των ομίλων, ο αλγόριθμος «ποντάρει» στην διοργανώτρια Γερμανία, ακολουθούμενη από την Ισπανία και την Ελβετία.
Ο αλγόριθμος αποτελεί έργο του Δρα Αλέξανδρου Σταματάκη, επικεφαλής της ερευνητικής ομάδας Biodiversity Computing Group (BCG) στο Ινστιτούτο Πληροφορικής του Ιδρύματος Τεχνολογίας και Έρευνας (ΙΤΕ) και της ομάδας Computational Molecular Evolution (CME) στο Ινστιτούτο Θεωρητικών Σπουδών της Χαϊδελβέργης (HITS), και καθηγητή Υπολογιστών Υψηλής Απόδοσης στις βιοεπιστήμες στο Ινστιτούτο Τεχνολογίας της Καρλσρούης (KIT).
«Το μεγάλο ερώτημα είναι ποια από τις ομάδες θα επιτύχει, ποια θα αποχωρήσει και ποια τελικά θα επικρατήσει. Ενώ, φυσικά, είναι αδύνατόν να δώσουμε ακριβείς και οριστικές απαντήσεις σε αυτές τις ερωτήσεις, είμαστε σε θέση να παρέχουμε πιθανολογικές προβλέψεις με βάση έναν αλγόριθμο από τον τομέα της Βιοπληροφορικής τον οποίο προσαρμόσαμε στο πρόβλημα, για να μας επιτρέψει να διερευνήσουμε την πιθανή πορεία του τουρνουά», λέει ο ίδιος στο dnews.gr, συμπληρώνοντας πως οι πιθανολογικές προβλέψεις για το UEFA Euro 2024 λαμβάνονται χρησιμοποιώντας 1.000.000 μοντέλα για την εκτίμηση της ποιότητας της κάθε ομάδας από τα οποία οι επιστήμονες κρατούν μόνο το 1% που ταιριάζουν καλύτερα στην απόδοση των ομάδων μέχρι τώρα.
Σύμφωνα με τον Σταματάκη, η πρόβλεψη βασίζεται στην προσαρμογή ενός αλγόριθμου για εξελικτικά δέντρα, στα «δέντρα» (μοντέλα κατηγοριοποίησης) ενός τουρνουά και σε στατιστικά μοντέλα για την εκτίμηση της απόδοσης των ομάδων. Επειδή οι υπολογισμοί για την πρόβλεψη του πιθανότερου νικητή πλέον γίνονται εξαιρετικά γρήγορα, μπορούν να αναλυθούν ένα εκατομμύριο εκτιμήσεις για την ποιότητα των ομάδων, που είναι και το πιο δύσκολο κομμάτι και έτσι να εκτιμηθεί η αβεβαιότητα των προγνώσεων.
«Η πρόβλεψη στο Euro είναι…απρόβλεπτη! Και αυτό κυρίως γιατί περίπου το 50% των γκολ μπαίνουν τυχαία και επιπλέον δεν σημειώνονται τόσα πολλά γκολ στο ποδόσφαιρο. Εδώ δεν υπάρχουν play-offs με best off 7 όπως π.χ. στον τελικό του ΝΒΑ, άρα ένα τυχαίο γεγονός μπορεί να δώσει εύκολα πρόκριση ακόμη και στην πιο αδύναμη ομάδα. Εμείς απλά δείχνουμε μια γκάμα πιθανοτήτων βάσει της εκτιμώμενης δύναμης της κάθε ομάδας. Δηλαδή κοιτάμε πως αλλάζουν οι πιθανότητες αν πειράξουμε λίγο, σε ρεαλιστικά πλαίσια, την εκτίμηση της δύναμης των ομάδων», εξηγεί ο επιστήμονας.
Τα αποτελέσματα της μελέτης της ομάδας του Αλέξανδρου Σταματάκη δείχνουν ότι η πιθανότητα να νικήσει η Γερμανία κυμαίνεται ανάμεσα σε 10-15% για τα περισσότερα σενάρια δύναμης ομάδων, της Γαλλίας ανάμεσα σε 6 και 12% κοκ. Όπως φαίνεται και στο διάγραμμα.
Όπως προαναφέρθηκε, ο αλγόριθμος που κάνει προβλέψεις για το Euro 2024 προβλέπει με παρόμοιο μαθηματικό τρόπο και την ανασυγκρότηση των εξελικτικών σχέσεων των διάφορων ειδών. Υπάρχει ένα ανάλογο ζήτημα στον τομέα της υπολογιστικής φυλογενετικής, δηλαδή στον τομέα της Βιοπληροφορικής που αναπτύσσει μεθόδους για την αναδόμηση της εξελικτικής ιστορίας των επί του παρόντος ζωντανών ειδών με βάση το DNA ή τα δεδομένα αλληλουχίας αμινοξέων τους. Η υπολογιστική φυλογενετική παρουσιάζει μια πληθώρα ομοιοτήτων με το ζητούμενο του υπολογισμού των πιθανοτήτων νίκης σε ένα τουρνουά.
«Ο αλγόριθμος πρόβλεψης των νικητών του Euro είναι παρόμοιος με τους αλγορίθμους που χρησιμοποιούνται για την ανακατασκευή των εξελικτικών σχέσεων μεταξύ διαφορετικών ειδών στη φυλογενετική. Επομένως, τα τουρνουά μπορούν να υπολογιστούν χρησιμοποιώντας μεθόδους παρόμοιες με εκείνες που χρησιμοποιούνται για τα οικογενειακά δέντρα. Η φυλογενετική ασχολείται με τη μελέτη της καταγωγής σε ζωντανά όντα», εξηγεί ο ίδιος ο επιστήμονας, ο οποίος, μαζί με των μεταδιδακτορικό του φοιτητή Ben Bettisworth, ανέπτυξαν το λογισμικό ανοικτού κώδικα Phylourny για να προβλέψουν την πορεία του τουρνουά .
Για να το κάνουν αυτό, οι ερευνητές προσάρμοσαν τον αλγόριθμο «κλαδέματος» του Αμερικανού εξελικτικού βιολόγου Joseph Felsenstein, που είναι ένα παράδειγμα δυναμικού προγραμματισμού, ένας τύπος αλγορίθμου που έχει πολλές εφαρμογές στην επιστήμη των υπολογιστών. Στον δυναμικό προγραμματισμό, αναλύεται ένα σύνθετο πρόβλημα σε μια σειρά απλούστερων βημάτων που έχουν μια συγκεκριμένη δομή. Αυτό επιτρέπει στους ερευνητές να αποφεύγουν επαναλαμβανόμενους υπολογισμούς με αποτελεσματικό τρόπο, επιταχύνοντας τον χρόνο που απαιτείται για τη διενέργειά τους.
«Η προσέγγισή μας χαρακτηρίζεται από το γεγονός ότι δεν χρειάζεται πλέον να προσομοιώνουμε το τουρνουά 100.000 φορές για να υπολογίσουμε της πιθανότητες νίκης για κάθε ομάδα με αποκλίσεις από τις ακριβείς τιμές (λόγω προσομοίωσης), αλλά μπορούμε να υπολογίσουμε της πιθανότητες με ακρίβεια σε κλάσματα δευτερολέπτου, πάντα με δεδομένες πιθανότητες νίκης/δύναμης ομάδων», προσθέτει ο Σταματάκης. Αυτό μας επιτρέπει να ρίξουμε περισσότερο βάρος στο κύριο ζήτημα που απασχολεί όλους τους φιλάθλους – πως εκτιμάμε σωστά την δύναμη μιας ομάδας και ποια επιρροή έχει αυτή η εκτίμηση στην πιθανότητας νίκης (που όπως βλέπουμε είναι τεράστια).
Η μοντελοποίηση των αθλημάτων με τρόπο που να προσδιορίζει με ακρίβεια την πιθανότητα ενός συγκεκριμένου αποτελέσματος είναι δύσκολη. Η ιδιωτική βιομηχανία (εταιρίες στοιχημάτων) καθώς και αρκετοί ερευνητές έχουν επενδύσει σημαντική προσπάθεια σε μεθόδους πρόβλεψης της έκβασης των αθλητικών αγώνων.
«Το μοντέλο πιθανοτήτων που προτείνουμε μάς παρέχει μερικές ενδιαφέρουσες προοπτικές. Για παράδειγμα, ενώ οι περισσότεροι bookmakers στοιχημάτιζαν στην Αγγλία έναντι της Γαλλίας πριν την έναρξη του τουρνουά, το μοντέλο μας φέρνει τα πάνω κάτω, λαμβάνοντας υπόψη και την απόδοση στη φάση των ομίλων», προσθέτει ο καθηγητής.
Σε κάθε περίπτωση, οι πιθανολογικές προβλέψεις αφήνουν πολλά περιθώρια για εκπλήξεις και για ενθουσιασμό κατά τη διάρκεια του UEFA Euro 2024. Αλλά αυτό που είναι απολύτως βέβαιο είναι ότι όλοι ανυπομονούν να απολαύσουν ένα ψυχαγωγικό τουρνουά πολύ περισσότερο ως ποδοσφαιρόφιλοι, παρά ως επιστήμονες που κάνουν προβλέψεις.
Ποιος είναι ο Αλέξης Σταματάκης
Ο Αλέξης Σταματάκης γεννήθηκε στην γερμανική πόλη Σααρμπρύκεν από πατέρα Έλληνα πολιτικό επιστήμονα και από Γερμανίδα μητέρα, καθηγήτρια κλασικού τραγουδιού. Όταν έγινε τεσσάρων ετών, η οικογένεια Σταματάκη μετακόμισε μόνιμα στην Ελλάδα. Ο Αλέξανδρος Σταματάκης φοίτησε στη Γερμανική Σχολή Αθηνών και σπούδασε Πληροφορική στο Πολυτεχνείο του Μονάχου (Technische Universität München) και στην École Normale Supérieure de Lyon (επίσης γνωστή ως ENS) κάνοντας πρακτική άσκηση στην Αθήνα, στο Παρίσι και στη Μαδρίτη.
Το 2001 έλαβε το δίπλωμά του στην Επιστήμη των Υπολογιστών από το Πολυτεχνείο του Μονάχου και το 2004 εκπόνησε τη διδακτορική του διατριβή (στο ίδιο πανεπιστήμιο) πάνω στους αλγορίθμους και στους παράλληλους υπολογιστές (parallel computing), με αντικείμενο την φυλογενετική συμπερασματολογία (ανακατασκευή των εξελικτικών δέντρων με χρήση δεδομένων DNA).
Συνέχισε να εργάζεται στον τομέα της εξελικτικής Βιοπληροφορικής και των παράλληλων υπολογιστών (parallel computing) ως μεταδιδακτορικός ερευνητής στο Ινστιτούτο Πληροφορικής του ΙΤΕ στο Ηράκλειο της Κρήτης και στο Ελβετικό Ομοσπονδιακό Ινστιτούτο Τεχνολογίας στη Λοζάνη. Στις αρχές του 2008 επέστρεψε στο Μόναχο για να ξεκινήσει, με γερμανική χρηματοδότηση, τη δική του ανεξάρτητη ερευνητική ομάδα Νέων (DFG Emmy Noether-Programme της γερμανικής γραμματείας έρευνας, DFG) στο Πολυτεχνείο του Μονάχου.
Το φθινόπωρο του 2010 μετακινήθηκε στο Ινστιτούτο Θεωρητικών Σπουδών της Χαϊδελβέργης (HITS) για να ξεκινήσει τη νέα του δουλειά, μόνιμα πια, ως επικεφαλής της ερευνητικής ομάδας για computational molecular evolution. Το 2012 διορίστηκε ως τακτικός καθηγητής στο Τμήμα Επιστήμης Υπολογιστών του Τεχνολογικού Ινστιτούτου της Καρλσρούης, αλλά και ως συνεργαζόμενος καθηγητής στο Τμήμα Οικολογίας και Εξελικτικής Βιολογίας στο Πανεπιστήμιο της Αριζόνα στο Tucson.
Το 2023 μετακινήθηκε στην Κρήτη όπου ανέλαβε Έδρα ERA για να στήσει την καινούργια ομάδα υπολογιστικής βιοποικιλότητας, ενώ ταυτόχρονα διατηρεί τις θέσεις και την ομάδα του στην Γερμανία. Η καινούργια ομάδα συνέβαλε σημαντικά στο brain gain, καθώς 6 από τα 7 μέλη της επέστρεψαν στην Κρήτη από Γερμανία, Γαλλία, ΗΠΑ, Αυστρία και Ισπανία
πηγή: dnews.gr
