Τα 1287 έφτασαν χθες, 25η Μαρτίου, τα κρούσματα κοροναϊού στην Κρήτη. Στο Ηράκλειο καταγράφηκαν 713 μολύνσεις, 308 στα Χανιά, 141 στο Ρέθυμνο και 125 στο Λασίθι.
Σημειώνεται πως την περασμένη Πέμπτη, μεταξύ των 22.107 νέων κρουσμάτων που είχε ανακοινώσει ο ΕΟΔΥ, τα 1.650 είχαν εντοπιστεί στην Κρήτη, 805 στο Ηράκλειο, 225 στο Λασίθι, 166 στο Ρέθυμνο και 454 στα Χανιά.
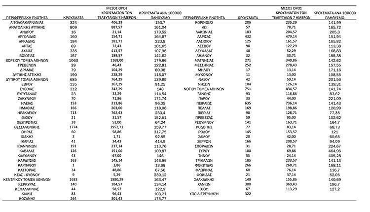
Αναλυτικά, χθες τα νέα εργαστηριακά επιβεβαιωμένα κρούσματα της νόσου Covid-19 που καταγράφηκαν τις τελευταίες 24 ώρες είναι 16.234, εκ των οποίων 18 εντοπίστηκαν κατόπιν ελέγχων στις πύλες εισόδου της χώρας. Ο συνολικός αριθμός των κρουσμάτων ανέρχεται σε 2.900.334 (ημερήσια μεταβολή +0,6%), εκ των οποίων 49,2% άνδρες. Με βάση τα επιβεβαιωμένα κρούσματα των τελευταίων 7 ημερών, 173 θεωρούνται σχετιζόμενα με ταξίδι από το εξωτερικό και 1.281 είναι σχετιζόμενα με ήδη γνωστό κρούσμα.
Οι νέοι θάνατοι ασθενών με Covid-19 είναι 35, ενώ από την έναρξη της πανδημίας έχουν καταγραφεί συνολικά 27.160 θάνατοι. Το 95,3% είχε υποκείμενο νόσημα ή/και ηλικία 70 ετών και άνω.
Ο αριθμός των ασθενών που νοσηλεύονται διασωληνωμένοι είναι 346 (63,6% άνδρες). Η διάμεση ηλικία τους είναι 70 έτη. To 90,8% έχει υποκείμενο νόσημα ή/και ηλικία 70 ετών και άνω. Μεταξύ των ασθενών που νοσηλεύονται διασωληνωμένοι, 214 (61,85%) είναι ανεμβολίαστοι ή μερικώς εμβολιασμένοι και 132 (38,15%) είναι πλήρως εμβολιασμένοι. Από την αρχή της πανδημίας έχουν εξέλθει από τις ΜΕΘ 4.430 ασθενείς.
Οι εισαγωγές νέων ασθενών Covid-19 στα νοσοκομεία της επικράτειας είναι 417 (ημερήσια μεταβολή +1,21%). Ο μέσος όρος εισαγωγών του επταημέρου είναι 374 ασθενείς. Η διάμεση ηλικία των κρουσμάτων είναι 35 έτη (εύρος 0,2 έως 112 έτη), ενώ η διάμεση ηλικία των θανόντων είναι 79 έτη (εύρος 0,2 έως 106 έτη).
